本人女单身电话微信号加100块约3小时上门人到付款 ,全国大圈高端工作室 ,qq二维码免费叫小妹,九品升级毕业区(场所)

裕乾主营楼宇自控系统,智能化集成系统,能耗监测系统,提供能源管理,节能监测,设备监控,智慧电梯,智能照明,智慧银行,智慧消防,安全用电等智能化系统.我们致力于为客户提供高品质,高效率,高安全性的智能化解决方案!

400-6569-698
商务合作

热线电话

400-6569-698

微信咨询
裕乾电子科技微信二维码
新闻banner图

裕乾解读加热炉能耗监测全过程!

发布日期:2020-12-30 发布人:加热炉能耗监测  本文关键词: 能耗监测


对于加热炉的能耗监测,裕乾将其全过程命名为S1、S2、S3三大阶段。详细实施情况如下所述:

S1:借助传感器设备获取加热炉能耗指标,具体包括烟道气的温度、气氧含量、气流量,借助范平衡计算方法获得空气系数a、排烟损失热量q1、表面散失热量q2、加热炉热效率(η),计算公式如下:

裕乾解读加热炉能耗监测全过程!(图1)

式中:O为烟道气氧含量,单位为%;T为烟道气温度,单位为℃。

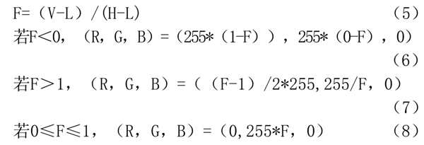
S2:借助传感器设备以及S1计算出的四个关键的能耗指标,确定加热炉不同能耗指标最优状态的取值。首先需要依据每一台加热炉额定系数与相关工作环境,确定出加热炉各个能耗指标最大阀值、最小阀值,同时依据加热炉对应能耗指标最大阀值、最小阀值及实际值来计算出加热炉能耗水平所处状态F(式5)。其次是结合热图色值设置原理来计算出加热炉能耗出表处于最大阀值、最小阀值及实际值时的色值(式6、7、8),将F等于0和1时对应色值设定成游标两个临界点的值,之后则依据实际的情况,选择F小于与大于0的两个色值作为游标临界点值。

裕乾解读加热炉能耗监测全过程!(图2)

式中:V表示的是能耗指标实际值;H表示的是能耗指标最大阀值;L表示的是能耗指标最小阀值。

S3:想要从全局的角度对所有加热炉运行状态进行能耗监测,此时就需要借助信息展现面板。该面板可以展现出参与能耗监测的所有加热炉的能耗指标,在面板中,横轴对应的内容是参与能耗监测的加热炉,纵轴表示的是实时的能耗指标。为了直观的表现加热炉能耗指标的具体状态,可以借助S2步骤中计算出的加热炉能耗指标色值,对加热炉当前的能耗指标情况进行标注,并且建立游标色值同信息展现面板中能耗指标色值映射关系。此外,为了实现快速的定位,还需限定加热炉能耗指标的具体范围,依据加热炉能耗指标业务特性、游标临界点值,在游标上选定出合适取值范围,精确筛选展示面板的加热炉能耗指标,或者获取最优的加热炉能耗指标值。如果想要进一步的了解加热炉其它运行指标或者能耗指标的历史记录,则可以点击来选定单台加热炉,获得单台加热炉的实时监测面板,从面板中可以获得加热炉能耗指标的最大阀值及最小阀值等信息,以此来判定出加热炉的运行工况是否处于良好状态,便于及时发现问题并解决。

微信二维码

扫码加微信咨询产品、免费报价

裕乾(4006569698,m.vwsrts.cn)是一家智慧化系统集成软硬件研发、销售、服务为主的高新技术企业。经过多年发展,公司已成为智慧建筑、智慧工业、智慧环保、智慧电力、智慧水利、智慧农业等领域,具有自主研发能力、自主知识产权与自主品牌一体化的先进解决方案供应商、系统集成综合服务商。

商务合作

热线电话

156-9231-2052

微信咨询
裕乾电子科技微信二维码